IL METODO DI SACHS – LE DOCTE PER LA DETERMINAZIONE
DELLA PERCENTUALE DI SACCAROSIO NELLA POLPA DI BIETOLA.
La saccarochimica è un particolare campo specialistico della ricerca chimica; essa racchiude lo studio e lo sviluppo di metodologie analitiche applicate all’industria per la produzione e la raffinazione dello zucchero alimentare, sia esso di barbabietola o di canna.
In particolare, per quanto riguarda la barbabietola da zucchero, in tutti i paesi del mondo dove si è sviluppato un settore economico bieticolo, le industrie saccarifere e le associazioni dei produttori agricoli sono sempre state interessate alla messa a punto di una metodica comune e convenzionale, per la determinazione del grado zuccherino della materia prima.
Questo, allo scopo di stabilire un criterio univoco di valutazione merceologica delle bietole conferite agli stabilimenti.
Nel passato, fin dagli albori dell’industria saccarifera, quando essa attraversava il primo periodo, cosiddetto “pionieristico”, per questo tipo di analisi si utilizzavano metodiche diverse, da paese a paese. Le differenze erano talvolta poco rilevanti e riguardavano perlopiù pesi e volumi. A volte erano invece sostanziali, e si basavano su principi e tecniche distinte. Tutto questo in continua evoluzione, decennio dopo decennio, da paese a paese, attraverso percorsi di ricerca e sviluppo paralleli.
Il metodo classico che si adotta comunemente è il “Sachs – Le Docte”. Esso consiste fondamentalmente nella digestione e chiarificazione a freddo, di una quantità (in peso) prefissata di polpa raspata proveniente da un campione di radici prelevato in linea, in zuccherificio. L’agente chiarificante è una quantità (in volume, proporzionale al peso di polpa, secondo uno specifico rapporto) di soluzione acquosa di solfato d’alluminio oppure acetato basico di piombo, preparata attraverso una procedura “regolamentare”. La sospensione ottenuta viene poi filtrata per la determinazione finale, della percentuale di saccarosio.
Il regolamento stabilisce ovviamente tutti i criteri per l’esecuzione della prova, comprese la temperatura e la densità del chiarificante, e i tempi di agitazione della miscela polpa – chiarificante.
Un tempo, si utilizzavano bilance per pesare la polpa e opportuni dispensatori per liquidi, a forma di ampolla, chiamati “pipette Le Docte” per dosare l’esatto volume di chiarificante. Attualmente questi dispositivi si utilizzano solo per controlli saltuari, mentre per la routine vengono comunemente utilizzate le bilance proporzionatrici, che consentono, una volta fissato, di mantenere costante il rapporto di dosaggio polpa – chiarificante.
L’azione operata dal chiarificante è la precipitazione ovvero l’eliminazione (che avviene per filtrazione) dei cosiddetti “Non Zuccheri” della bietola, presenti nella miscela, che ostacolerebbero la misura del grado zuccherino. La maggior parte delle metodiche, infatti, richiede come vedremo, una soluzione perfettamente limpida ed incolore, come quella che si ottiene sciogliendo il saccarosio puro in acqua.
La proporzione polpa-chiarificante è definita dal rapporto: 26 grammi di polpa / 0.177 litri di soluzione chiarificante. Ora, se consideriamo che il 100 % di grado zuccherino è convenzionalmente dato da una soluzione di 26 grammi di zucchero disciolti in 0.200 litri di acqua distillata (rapporto: 26 grammi / 0.200 litri), è evidente che la differenza volumetrica (pari a 0.023 litri) nei due rispettivi casi, è giustificata dal fatto che mediamente 26 grammi di polpa (detto anche “peso normale”) di bietola danno 0.023 litri di sugo.
Il controllo del rapporto di dosaggio va effettuato periodicamente nell’arco dell’utilizzo giornaliero dei dispositivi proporzionatori, tenendo presenti le eventuali variazioni delle variabili chimico – fisiche, come la temperatura di lavoro e la densità del chiarificante, ossia le variabili picnometriche. Ci si avvale, per questo, dei cosiddetti palloncini (o matracci), recipienti tarati a 0.177 litri.
Storicamente, la determinazione chimico – analitica del grado zuccherino ha sempre seguito due vie parallele: quella polarimetrica e quella rifrattometrica. La prima è la più importante, sia per applicazione, sia per attendibilità della misura.
Sfruttano, rispettivamente, due diverse proprietà chimico – fisiche delle soluzioni zuccherine: l’attività ottica (ossia il fatto che ruotano di un angolo ben preciso, variabile a seconda del tipo di zucchero, il piano di polarizzazione della luce polarizzata che le attraversa) e l’indice di rifrazione (ossia il potere, quando attraversate da un raggio di luce, di deviarne la direzione secondo uno specifico angolo di rifrazione).
La prima proprietà è direttamente in funzione della concentrazione di zucchero (e di altre variabili) secondo una legge che vedremo.
La tecnica che sfrutta questa proprietà è la polarimetria e si avvale di strumenti ottici detti polarimetri. Questi, opportunamente tarati per l’analisi del saccarosio, prendono il nome di saccarimetri. La grandezza percentuale che si misura mediante saccarimetria è il grado saccarimetrico, detto anche Polarizzazione (Pol.), simboleggiato da °S (%).
La seconda proprietà è in funzione di un’altra grandezza, il grado Brix (° Bx %), che non è altro che la percentuale di sostanza secca. Questa è direttamente correlata alla Polarizzazione, e, allo scopo, si utilizzano opportune tabelle di conversione Brix – Polarizzazione.
La tecnica, in questo caso, è la rifrattometria, e si avvale dei rifrattometri.
Il peso normale di 26
grammi, una delle principali costanti della saccarimetria, deriva dai metodi di
misurazione adottati dall’industria germanica, coi saccarimetri tedeschi di
tipo Soleil-Ventzke, Scheibler, Schmidt & Haensch (a scala Ventzke). Questi
si distinguevano dai sistemi analitici francesi (saccarimetri di tipo Soleil et
Laurent), che si riferivano ad una scala e ad un peso normale differenti. La Commissione
Internazionale per i Metodi Unitari nell’Analisi degli Zuccheri, organismo
appositamente istituito, stabilì (Parigi, luglio 1900) che il valore 100 della
scala saccarimetrica, doveva essere calibrato con una soluzione di 26.000
grammi di saccarosio puro in 100 cm3 di acqua, polarizzando alla
temperatura di 20 °C in un tubo di lunghezza pari a 20 cm.
Per le sostanze otticamente attive, vale la seguente legge:
a = (|a |20D * l * c) / 100
dove |a |20D è una costante chiamata Potere Rotatorio Specifico della sostanza (per il saccarosio è pari a +66.5°, il segno + significa rotazione destrogira), dipendente dalla temperatura e dalla lunghezza d’onda della luce, e rappresenta l’angolo di rotazione del piano di polarizzazione della luce, che la sostanza determina alla concentrazione di 1 g/ml, attraversata da luce polarizzata di lunghezza d’onda pari a 589 nm (riga spettrale gialla del sodio), usando un tubo polarimetrico lungo 10 cm, alla temperatura di 20 °C.
a è l’attività ottica, ossia l’angolo di rotazione
del piano di polarizzazione, osservato al polarimetro.
c è la
concentrazione della sostanza in soluzione, espressa in g/100 ml
l è la lunghezza del tubo polarimetrico espressa in decimetri
Sostanzialmente, la differenza fra il polarimetro e il saccarimetro è la scala graduata: per il primo l’unità di misura della scala, sono i gradi di cerchio, mentre per il secondo, la scala non è altro che un settore circolare ovvero una parte (pari a 34.58°) della scala di polarimetro che viene posta a 100 (fondo scala).
Infatti, una soluzione (fissata convenzionalmente per fissare il fondo scala del saccarimetro) di 26 grammi di saccarosio puro in 0.200 litri di acqua distillata, letta con un tubo polarimetrico da 4 decimetri, ha un’attività ottica pari a 34.58°, od anche, polarizza a 100 °S nella scala saccarimetrica.
Il polarimetro è un dispositivo ottico (vedi figura 1) costituito dai seguenti componenti, disposti linearmente:
· una sorgente di luce, ossia una lampada
· un polarizzatore, avente la funzione di polarizzare la luce, che consiste in due monocristalli di calcite incollati insieme con balsamo del Canada (prisma di Nicol), oppure in un polaroid
· un tubo in vetro oppure metallico munito di vetrini alle estremità, ossia la vera e propria cella di misura, alloggiato in opportuno sostegno, che permette l’ingresso e l’uscita della soluzione in esame
· un analizzatore, analogo al polarizzatore con l’unica differenza che esso non è fisso ma libero di ruotare per intercettare il piano di polarizzazione della luce (ruotato in caso di presenza nel tubo, di una sostanza otticamente attiva) e determinarne l’angolo di rotazione
· una scala graduata, con indicatore solidale all’analizzatore, che consente la misurazione dell’angolo di rotazione
I moderni polarimetri o saccarimetri funzionano secondo lo stesso principio fisico ma sono equipaggiati con servomotori, dispositivi elettromeccanici ed elettronici, muniti di display o direttamente interfacciati a computer e sistemi automatizzati per la gestione dati, dello zuccherificio o del laboratorio (vedi figure 2 e 3).



Figura 3: moderno
polarimetro elettronico
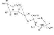
L’attività ottica di composti come gli zuccheri, deriva dalla particolare struttura geometrica delle molecole. In esse, sono presenti atomi di carbonio detti “chirali” poiché formano 4 legami con quattro gruppi o sostituenti diversi tra loro.
Se esaminiamo la formula di struttura del disaccaride saccarosio, di seguito riportata (si consideri che gli atomi di carbonio chirali si trovano sui vertici delle 2 strutture ad anello), possiamo renderci conto di questa caratteristica.

I saccarimetri possono essere altresì utilizzati per misurare il coefficiente di purezza del saccarosio. Infatti, dalle precedenti definizioni di peso normale e fondo scala dei polarimetri, abbiamo visto che una soluzione di 260 grammi di saccarosio puro sciolti in 2 litri d’acqua distillata, danno un valore di polarizzazione pari a 100 °S.
Ora, se per preparare tale soluzione, si utilizzano 260 grammi di un qualsiasi saccarosio commerciale, il valore letto al saccarimetro, supponiamo 99.85 °S, rappresenterà la reale purezza % di quel saccarosio.
Per il controllo di routine dell’efficienza e accuratezza dei saccarimetri nei laboratori tare e analisi degli zuccherifici, viene misurata la polarizzazione di una soluzione zuccherina a titolo noto, la cosiddetta “titolata a peso”.
Essa viene preparata secondo questa formula:
g = ( 130 X Pol X Vol ) / K
dove: g è il peso in grammi del saccarosio da pesare per preparare la soluzione titolata a peso
Pol è il valore di polarizzazione che deve essere rilevato misurando polarimetricamente la soluzione
Vol è il volume in litri, della soluzione da preparare
K è il coefficiente di purezza % del saccarosio utilizzato nella preparazione
Bibliografia:
I. Guareschi, F. Garelli – “Nuova Enciclopedia di Chimica”, Volume XII – parte III, Unione Tipografico-Editrice, TORINO, 1927
E. Molinari – “Trattato di Chimica Organica Generale e Applicata all’Industria”, II edizione, Ulrico Hoepli editore, MILANO, 1912
F. Stohmann, A. Rumpler, C. Neppi – “Manuale per la Fabbricazione dello Zucchero”, IV edizione, Unione Tipografico Editrice, TORINO, 1902